• 首页
  • 医院/科室概况
    医院简介
    组织架构
    领导团队
    科室导航
    文化愿景
  • 就医指南
    门诊须知
    住院须知
    预约挂号
    来院导航
    健康管理(体检)中心
    楼层信息
    医保专区
    健康科普
  • 医教研动态
    医疗技术
    护理特色
    教学管理
    科研动态
  • 党群工作
    党建动态
    专题教育
  • 新闻中心
    附二要闻
    招标采购
    对外公告
  • 加入我们
    人才招聘
    研究生招录
    住院医师规范化培训招录
    进修/实习/培训申请
    医联体建设
  • 附二要闻
  • 招标采购
  • 对外公告

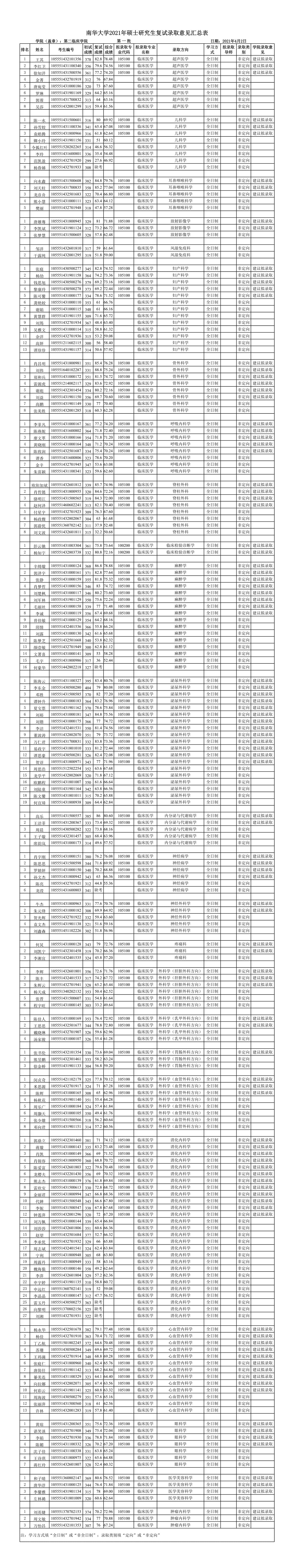
南华大学第二临床学院2021年硕士研究生拟录取名单公示(第一批)

2021-04-02


南华大学第二临床学院2021年硕士研究生拟录取名单公示(第一批)

返回列表
上一篇:
南华大学第二临床学院2021年硕士研究生复试录取意见公示(第一批调剂)
下一篇:
南华大学第二临床学院2021年硕士研究生第一志愿复试名单公示
急救中心电话:

0734-8288999

体检中心电话:0734-8899866

医院地址:

湖南省衡阳市蒸湘区解放大道35号(新院)
湖南省衡阳市石鼓区解放路30号(东院)

院长信箱 投诉信箱
南华大学附属第二医院 2002-2025 All Rights Reserved 湘ICP备14013022号-7
  • 公众号

  • 视频号

  • 抖音号